일 | 월 | 화 | 수 | 목 | 금 | 토 |
---|---|---|---|---|---|---|
1 | 2 | 3 | 4 | |||
5 | 6 | 7 | 8 | 9 | 10 | 11 |
12 | 13 | 14 | 15 | 16 | 17 | 18 |
19 | 20 | 21 | 22 | 23 | 24 | 25 |
26 | 27 | 28 | 29 | 30 | 31 |
- 여행
- 물리화학
- Aromaticity
- 대만
- 양자화학
- Organic Chemistry
- 양자역학
- travel
- quantum chemistry
- Physical Chemistry
- 타이베이
- Computational Chemistry
- 유기화학
- Chemistry
- Gaussian
- 화학
- Today
- Total
Daily Project
[Organic Chemistry] 산과 염기 #1 (Acids and Bases #1) 본문
[Organic Chemistry] 산과 염기 #1 (Acids and Bases #1)
Jun_Hyeong 2020. 6. 26. 00:37#Brønsted-Lowry Acids and Bases
Brønsted-Lowry Acids는 proton donor입니다. 즉, 다른 분자에게 proton (H+)을 제공하는 분자를 지칭하는 말입니다. 반대로 Brønsted-Lowry Bases는 proton acceptor로 다른 분자에게 proton (H+)를 받는 분자를 지칭합니다.
정의에 따라서 Brønsted-Lowry Acids는 proton을 가지고 있어야 하고 Brønsted-Lowry Bases는 proton과 결합을 형성할 수 있어야 됩니다.
Figure 1에서 Brønsted-Lowry Acids는 proton을 Brønsted-Lowry Bases에게 제공하며, Brønsted-Lowry Bases는 Brønsted-Lowry Acids가 제공하는 proton을 받는 것을 확인할 수 있습니다.
#Acid Strength and pKa
우리는 각 분자마다 proton을 제공하는 정도가 다르다는 것을 알고 있습니다. 이러한 Acid의 proton을 제공하는 정도를 우리는 Acid Strength라고 정의합니다.
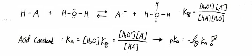
Figure 2는 Acid (H-A)가 물에 용해되는 과정을 나타내고 있습니다. 그에 따라서 평형 상수(Equilibrium Constant, Keq)를 세울 수 있는데, 이를 이용해서 새롭게 산 해리 상수(Acid Constant)를 정의합니다. Acid (H-A)가 proton을 더 잘 제공할수록(산의 세기가 세질수록) Keq의 값은 증가하게 될 것이고 그에 따라서 Ka 또한 증가하게 될 것입니다.
Acids and Bases에서 빼놓을 수 없는 pH의 정의는 pH=-log [H+]입니다. 이때 pH는 potential hydrogen의 앞글자를 따와서 만들어졌는데, 여기서 착안해 "p" 자체를 하나의 함수로 취급하는 것입니다. 즉, p([H+]) = -log([H+])와 같은 식으로 표현될 수 있다는 것입니다. 이것을 pKa에 적용시켜보면 pKa = - log Ka라는 식이 나오게 되는 것 입니다.
용액 속에 proton의 농도가 높아지면 pH의 값이 감소하듯이, Ka가 증가하면 pKa의 값은 감소한다는 것을 알 수 있습니다. 강산일수록 큰 Ka를, 낮은 pKa를 가지고 있다고 정리할 수 있습니다. 즉, pKa의 값이 감소하면 감소할수록 acidity가 증가하게 되고, pKa가 커지면 basicity가 증가하는 것 입니다.
#Medium Effects
만약, Acid가 물이 아닌 다른 solvent에 용해되었을 때는 Ka가 어떻게 변화할까요?
Acid가 용액에서 이온화되는 경우에는 Acid가 Medium에게 proton을 제공하게 됩니다. 그리고 동시에 Acid의 conjugate base가 생깁니다. 우리가 Acid Strength를 결정할 때 자주 고려하는 것은 "얼마나 Conjugate Base가 안정화될 수 있는가?"입니다. 그 이유는 Conjugate Base가 안정하면 안정할수록 Acid의 이온화(Ionization)가 촉진되기 때문입니다. 즉, Conjugate Base가 안정하면 안정할수록 Acid Strength는 더 강해진다는 의미입니다.
Figure 4에서 같은 분자이지만 Medium에 따라서 다른 pKa를 보여주는 것을 확인할 수 있습니다. 그 이유는 Medium에 따라서 Conjugate Base가 안정화되는 정도가 다르기 때문입니다. 물의 경우에는 Conjugate Base와 Hydrogen Bonding을 통해서 anion을 안정화시킬 수 있지만, DMSO(Dimethyl Sulfoxide)의 경우 anion을 안정화시킬 수 있는 방법이 없기 때문에 물에 비해서 pKa가 높은 값을 가지게 됩니다.
#Acid-Base Reactions
Acid-Base Reaction이 일어날 때 평형의 위치는 Acid와 Base의 상대적인 크기에 따라서 결정이 됩니다. 평형(Equilibrium)은 항상 더 약한 Acid와 Base가 생성되는 것을 더 선호합니다.
그러므로 Figure 6의 반응을 분석해보면 Acetylene의 pKa는 25이고 Ammonia의 pKa는 38이므로 Acetylene이 Ammonia보다 강한 Acid라는 것을 알 수 있습니다. 그러므로 평형(Equilibrium)은 product를 선호하게 되는 것이고 Figure 6에서는 unequal equilibrium arrows로 표현된 것을 볼 수 있습니다.
#Problem Session
H2O의 pKa를 구하시오. 단, 물이 이온화되는 온도는 25℃라고 가정한다.
Kw = [H3O+][OH-] = 10E-14
Keq = [H3O+][OH-]/[H2O]^2
Ka = [H2O] Keq = [H3O+][OH-]/[H2O] = 10E-14 / ([1000 g/L] / [18 g/mol]) = 10E-14/55.5 = 1.8E-16
pKa = - log Ka = - log ( 1.8E-16) = 15.7
'Chemistry Project > Organic Chemistry' 카테고리의 다른 글
[Organic Chemistry] 공명 #2 (Resonance #2) (0) | 2020.06.22 |
---|---|
[Organic Chemistry] 공명 #1 (Resonance #1) (0) | 2020.06.22 |
[Organic Chemistry] 형식 전하 (Formal Charge) (0) | 2020.06.22 |
[Organic Chemistry] 작용기와 반응성 (Functional Groups and Reactivity) (0) | 2019.08.17 |
[Organic Chemistry] 물리적 특성 (Physical Properties) (1) | 2019.08.15 |